Appeal Template

Tuesday, January 18th 2022. | template

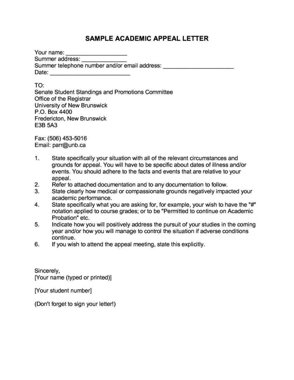
Appeal Template. Template letters | appeal a denied claim (from provider to payer) this letter is only an example. This was my appeal that i used to get my account reinstated in 2015.

Appeal Letter Format For College SampleTemplatess SampleTemplatess
Appeal Letter Format For College SampleTemplatess SampleTemplatess from www.sampletemplatess.com

Follow the structure of the appeal template, being sure to include your persona situation and intentions to get your academic progress. Fields required for customization are in red. You will notice that the text of this sample letter is exceptionally brief.

You Can Omit The Information Above The Welcome If You're Sending Your Plea Through Email.

I would update it a bit with guidelines as outlined in the blog post you downloaded it from. Be as specific as possible. I understand that i have made.

Then State The Name Of The Employee Who Stated To Refused The Benefits Along With The Date When The Decision Was Issued,As Well As The Specific Action Of The Appeal Filed.

Which decision is the subject of the appeal the reason for the appeal a request that the employee gets accompanied to the appeal hearing appeal letter formats download 14 kb #10 download 13 kb #11 download 7 kb #12 download 10 kb #13 download 24 kb #14 download 22 kb #15 download 21 kb Unemployment appeal letter format the format commonly used in unemployment appeal letters are opens with a brief statement about the purpose of the letter. There are some occasions you may need to write a letter of appeal.

We Can’t Accept Your Appeal Without Your Signature.

[ph center letterhead] [today’s date] [insurance company] [address] [phone/fax] re: Documents disciplinary appeal letter template docx, 13 kb a letter to raise an appeal against a disciplinary. [patient name, dob] [member id] dear claims representative:

Jotform’s Online Report Forms Are Fully Customizable And Completely Free To Use.

Most appeal and request letters will be at least a page. How long was the duration of the ban?: The appeal letter format will usually include the following:

Check Out Our Simple Sap Appeal Template Designed To Get You Your Financial Aid Back.

Free to download and use. Print this page and submit once by fax or mail to the address listed below with any additional information you wish to provide. These themes supply exceptional instances of ways to structure such a letter, as well as.

tags: ,